Hoy le tocó el turno al examen de Teoría de la Comunicación, un examen que tenía unas ganas terribles de quitarme de encima, ya que me imponía bastante respeto, pero finalmente, todo fue bien y el examen me salió bastante bien.
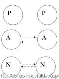
Una de las cosas que me llamó bastante la atención fue la parte del análisis transaccional, que es una herramienta de investigación que permite la separación (análisis) de la personalidad en tres estados del Yo (Padre, Adulto y Niño), examinando la expresión verbal (y no verbal) de los pensamientos, sentimientos y comportamientos de distinto origen biológico e histórico y de distinta vivencia interior. El máximo exponente del análisis transaccional es Eric Berne.
Dentro del análisis transaccional se encuentra el análisis conciliatorio, que es un instrumento de estudio de la personalidad y de la acción social, basado en el análisis de todas la conciliaciones posibles entre dos o más personas, sobre la base de unos estados del "yo" previamente definidos. Cada conciliación en una unidad de acción social en la que intervienen un estímulo y una respuesta, verbal y no verbal.
El término conciliación, por su parte, alude al acto comunicativo (estímulo-respuesta) en el que cada parte trata de obtener una recompensa desplegando una conducta comunicativa.
TIPOS DE CONCILIACIONES
Conciliaciones complementarias:
- Emisor: Trabajador: “¿Qué opina del resultado del derby de ayer?”
- Receptor: Jefe: “Me parece que el resultado no fue justo”
Conciliaciones cruzadas:
Tipo 1
- Emisor: Compañero 1, “¿Dónde está la entrada?”
- Receptor: Compañero 2, “¡Porqué siempre me miras a mi!”
Tipo 2
- Emisor: Compañero 1, “¿A qué hora es el examen de mañana?”
- Receptor: Compañero 2, “Si atendieras alguna vez, lo sabrías”
Tipo 3
- Emisor: Compañero 1, “Jo, siempre suspendo”
- Receptor: Compañero 2, “Normal, si nunca estudias...”
Tipo 4
- Emisor: Padre, “¡Ponte a estudiar ahora!”
- Receptor: Hijo, “No puedo porque estoy haciendo los deberes”
Conciliaciones angulares:
- Emisor: Profesor, “Este libro te va a gustar porque es muy bueno, ameno, tiene muchas fotografías y te enseña todos los coches de la historia.”
- Mensaje subyacente, El libro te va a gustar porque habla sobre un tema que le gusta
- Receptor: Alumno, “¡Me lo compraré en cuanto salga de clase!”
Conciliaciones dobles:
- Emisor: Novio, “Cielo, mis padres se van, ¿puedes venir antes de las 8 a recogerme?
- Mensaje subyacente, “Tengo ganas de verte”
- Receptor: Novia, “Sí, iré sobre las 7”
- Mensaje subyacente, “Yo también quiero verte”
